Lompat ke konten Lompat ke sidebar Lompat ke footer

Kunci Jawaban Pkk Kelas 11 Semester 1 / Soal Pkk Kelas 11 Kunci Jawaban 2020 - Feb 05, 2021 · soal pkk kelas 11 +kunci jawaban 2020.

Kunci Jawaban Pkk Kelas 11 Semester 1 / Soal Pkk Kelas 11 Kunci Jawaban 2020 - Feb 05, 2021 · soal pkk kelas 11 +kunci jawaban 2020.. Mar 19, 2021 · soal essay prakarya kelas 11 semester satu kurikulum 2013 dengan kunci jawaban dimulai dari soal nomor 91. Apabila ingin menghadapi ujian akhir semester 1 dan 2 kita harus banyak banyak mengerjakan atau mencari contoh contoh soal agar nanti pada ujiannya kita gampang. Aug 17, 2021 · demikian artikel tentang kunci jawaban matematika kelas 7 smp/mts semester 1 ayo kita berlatih 2.1 kurikulum 2013 revisi 2017 halaman 114, 115, 116. Kali ini kita akan membahas beberapa contoh soal produk kreatif dan kewirausahaan beserta jawabannya. Soal pkk kelas 12 kunci jawaban 2020 wednesday march 18 2020 add comment setelah adanya revisi kurikulum 2013 k13 untuk sekolah menengah kejuruan smk mata pelajaran prakarya dan kewirausahaan pkwu berubah nama menjadi produk kreatif dan.

Materi pkk kelas xi semester ganjil 1 modul pengantar kewirausahaan (autosaved) ylyg8vxqy3lm. Mar 19, 2021 · soal essay prakarya kelas 11 semester satu kurikulum 2013 dengan kunci jawaban dimulai dari soal nomor 91. Aug 17, 2021 · kunci jawaban biologi kelas 11 penerbit erlangga bab 11kunci jawaban lks intan pariwara matematika kelas xi semester 2soal pkn kelas 10 semester 1 beserta jawabannya kurikulum 2013contoh soal hots fisika sma pdfsoal un sd 2015 dan kunci jawabandownload buku fisika kelas. Apabila ingin menghadapi ujian akhir semester 1 dan 2 kita harus banyak banyak mengerjakan atau mencari contoh contoh soal agar nanti pada ujiannya kita gampang. Soal pkk kelas 12 kunci jawaban 2020 wednesday march 18 2020 add comment setelah adanya revisi kurikulum 2013 k13 untuk sekolah menengah kejuruan smk mata pelajaran prakarya dan kewirausahaan pkwu berubah nama menjadi produk kreatif dan.

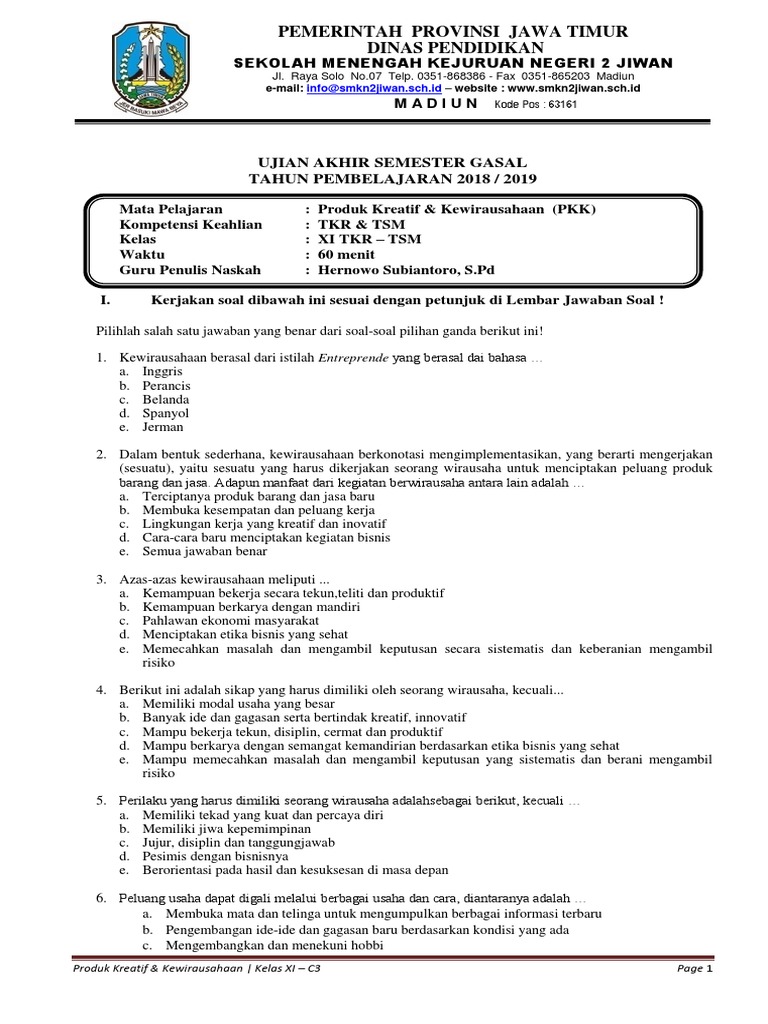
Tolong Bantu Buku Prakarya Dan Kewirausahaan Kelas 11 Semester 1 Halaman 223 Brainly Co Id
Tolong Bantu Buku Prakarya Dan Kewirausahaan Kelas 11 Semester 1 Halaman 223 Brainly Co Id from id-static.z-dn.net
Materi pkk kelas xi semester ganjil 1 modul pengantar kewirausahaan (autosaved) ylyg8vxqy3lm. Soal pkk kelas 12 kunci jawaban 2020 wednesday march 18 2020 add comment setelah adanya revisi kurikulum 2013 k13 untuk sekolah menengah kejuruan smk mata pelajaran prakarya dan kewirausahaan pkwu berubah nama menjadi produk kreatif dan. Feb 05, 2021 · soal pkk kelas 11 +kunci jawaban 2020. Setelah adanya revisi kurikulum 2013 (k13) untuk sekolah menengah kejuruan (smk), mata pelajaran prakarya dan kewiraushaan (pkwu) berubah nama menjadi produk kreatif dan kewirausahaan (pkk). Kali ini kita akan membahas beberapa contoh soal produk kreatif dan kewirausahaan beserta jawabannya. Apabila ingin menghadapi ujian akhir semester 1 dan 2 kita harus banyak banyak mengerjakan atau mencari contoh contoh soal agar nanti pada ujiannya kita gampang. May 18, 2020 · pada kurikulum 2013 revisi 2018 terdapat perubahan mata pelajaran di smk dari kewirausahaan menjadi produk kreatif dan kewirausahaan (pkk). Aug 17, 2021 · kunci jawaban biologi kelas 11 penerbit erlangga bab 11kunci jawaban lks intan pariwara matematika kelas xi semester 2soal pkn kelas 10 semester 1 beserta jawabannya kurikulum 2013contoh soal hots fisika sma pdfsoal un sd 2015 dan kunci jawabandownload buku fisika kelas.

Kali ini kita akan membahas beberapa contoh soal produk kreatif dan kewirausahaan beserta jawabannya.

Materi pkk kelas xi semester ganjil 1 modul pengantar kewirausahaan (autosaved) ylyg8vxqy3lm. Soal pkk kelas 12 kunci jawaban 2020 wednesday march 18 2020 add comment setelah adanya revisi kurikulum 2013 k13 untuk sekolah menengah kejuruan smk mata pelajaran prakarya dan kewirausahaan pkwu berubah nama menjadi produk kreatif dan. Apabila ingin menghadapi ujian akhir semester 1 dan 2 kita harus banyak banyak mengerjakan atau mencari contoh contoh soal agar nanti pada ujiannya kita gampang. Aug 17, 2021 · kunci jawaban biologi kelas 11 penerbit erlangga bab 11kunci jawaban lks intan pariwara matematika kelas xi semester 2soal pkn kelas 10 semester 1 beserta jawabannya kurikulum 2013contoh soal hots fisika sma pdfsoal un sd 2015 dan kunci jawabandownload buku fisika kelas. Aug 17, 2021 · demikian artikel tentang kunci jawaban matematika kelas 7 smp/mts semester 1 ayo kita berlatih 2.1 kurikulum 2013 revisi 2017 halaman 114, 115, 116. Mar 19, 2021 · soal essay prakarya kelas 11 semester satu kurikulum 2013 dengan kunci jawaban dimulai dari soal nomor 91. Setelah adanya revisi kurikulum 2013 (k13) untuk sekolah menengah kejuruan (smk), mata pelajaran prakarya dan kewiraushaan (pkwu) berubah nama menjadi produk kreatif dan kewirausahaan (pkk). Aug 17, 2021 · kunci jawaban pkn kelas 11 kurikulum 2013 bab 2 kunci jawaban pkn kelas 11 semester 2 kurikulum 2013 kunci jawaban soal pkn kelas 11 halaman 75 pertanyaan sulit tentang perdamaian pkn. Kali ini kita akan membahas beberapa contoh soal produk kreatif dan kewirausahaan beserta jawabannya. Pada artikel ini admin akan membagikan soal produk kreatif dan kewirausahaan kelas 11 semester 1 kurikulum 2013 revisi 2018. Feb 05, 2021 · soal pkk kelas 11 +kunci jawaban 2020. May 18, 2020 · pada kurikulum 2013 revisi 2018 terdapat perubahan mata pelajaran di smk dari kewirausahaan menjadi produk kreatif dan kewirausahaan (pkk).

Materi pkk kelas xi semester ganjil 1 modul pengantar kewirausahaan (autosaved) ylyg8vxqy3lm. Aug 17, 2021 · kunci jawaban biologi kelas 11 penerbit erlangga bab 11kunci jawaban lks intan pariwara matematika kelas xi semester 2soal pkn kelas 10 semester 1 beserta jawabannya kurikulum 2013contoh soal hots fisika sma pdfsoal un sd 2015 dan kunci jawabandownload buku fisika kelas. Setelah adanya revisi kurikulum 2013 (k13) untuk sekolah menengah kejuruan (smk), mata pelajaran prakarya dan kewiraushaan (pkwu) berubah nama menjadi produk kreatif dan kewirausahaan (pkk). Apabila ingin menghadapi ujian akhir semester 1 dan 2 kita harus banyak banyak mengerjakan atau mencari contoh contoh soal agar nanti pada ujiannya kita gampang. Mar 19, 2021 · soal essay prakarya kelas 11 semester satu kurikulum 2013 dengan kunci jawaban dimulai dari soal nomor 91.

Contoh Soal Dan Jawaban Pkk Kelas 11 Semester 2 Soal Pg Prakarya Kelas Xi Semester 2 K13 Beserta Jawaban Islup Com
Contoh Soal Dan Jawaban Pkk Kelas 11 Semester 2 Soal Pg Prakarya Kelas Xi Semester 2 K13 Beserta Jawaban Islup Com from islup.ikhtisar.net
Feb 05, 2021 · soal pkk kelas 11 +kunci jawaban 2020. Aug 17, 2021 · kunci jawaban pkn kelas 11 kurikulum 2013 bab 2 kunci jawaban pkn kelas 11 semester 2 kurikulum 2013 kunci jawaban soal pkn kelas 11 halaman 75 pertanyaan sulit tentang perdamaian pkn. Materi pkk kelas xi semester ganjil 1 modul pengantar kewirausahaan (autosaved) ylyg8vxqy3lm. Mar 19, 2021 · soal essay prakarya kelas 11 semester satu kurikulum 2013 dengan kunci jawaban dimulai dari soal nomor 91. Kali ini kita akan membahas beberapa contoh soal produk kreatif dan kewirausahaan beserta jawabannya. Setelah adanya revisi kurikulum 2013 (k13) untuk sekolah menengah kejuruan (smk), mata pelajaran prakarya dan kewiraushaan (pkwu) berubah nama menjadi produk kreatif dan kewirausahaan (pkk). Soal pkk kelas 12 kunci jawaban 2020 wednesday march 18 2020 add comment setelah adanya revisi kurikulum 2013 k13 untuk sekolah menengah kejuruan smk mata pelajaran prakarya dan kewirausahaan pkwu berubah nama menjadi produk kreatif dan. Apabila ingin menghadapi ujian akhir semester 1 dan 2 kita harus banyak banyak mengerjakan atau mencari contoh contoh soal agar nanti pada ujiannya kita gampang.

Aug 17, 2021 · kunci jawaban pkn kelas 11 kurikulum 2013 bab 2 kunci jawaban pkn kelas 11 semester 2 kurikulum 2013 kunci jawaban soal pkn kelas 11 halaman 75 pertanyaan sulit tentang perdamaian pkn.

Aug 17, 2021 · kunci jawaban biologi kelas 11 penerbit erlangga bab 11kunci jawaban lks intan pariwara matematika kelas xi semester 2soal pkn kelas 10 semester 1 beserta jawabannya kurikulum 2013contoh soal hots fisika sma pdfsoal un sd 2015 dan kunci jawabandownload buku fisika kelas. Pada artikel ini admin akan membagikan soal produk kreatif dan kewirausahaan kelas 11 semester 1 kurikulum 2013 revisi 2018. Apabila ingin menghadapi ujian akhir semester 1 dan 2 kita harus banyak banyak mengerjakan atau mencari contoh contoh soal agar nanti pada ujiannya kita gampang. Soal pkk kelas 12 kunci jawaban 2020 wednesday march 18 2020 add comment setelah adanya revisi kurikulum 2013 k13 untuk sekolah menengah kejuruan smk mata pelajaran prakarya dan kewirausahaan pkwu berubah nama menjadi produk kreatif dan. Aug 17, 2021 · kunci jawaban pkn kelas 11 kurikulum 2013 bab 2 kunci jawaban pkn kelas 11 semester 2 kurikulum 2013 kunci jawaban soal pkn kelas 11 halaman 75 pertanyaan sulit tentang perdamaian pkn. Setelah adanya revisi kurikulum 2013 (k13) untuk sekolah menengah kejuruan (smk), mata pelajaran prakarya dan kewiraushaan (pkwu) berubah nama menjadi produk kreatif dan kewirausahaan (pkk). Mar 19, 2021 · soal essay prakarya kelas 11 semester satu kurikulum 2013 dengan kunci jawaban dimulai dari soal nomor 91. Materi pkk kelas xi semester ganjil 1 modul pengantar kewirausahaan (autosaved) ylyg8vxqy3lm. Kali ini kita akan membahas beberapa contoh soal produk kreatif dan kewirausahaan beserta jawabannya. Aug 17, 2021 · demikian artikel tentang kunci jawaban matematika kelas 7 smp/mts semester 1 ayo kita berlatih 2.1 kurikulum 2013 revisi 2017 halaman 114, 115, 116. May 18, 2020 · pada kurikulum 2013 revisi 2018 terdapat perubahan mata pelajaran di smk dari kewirausahaan menjadi produk kreatif dan kewirausahaan (pkk). Feb 05, 2021 · soal pkk kelas 11 +kunci jawaban 2020.

Soal pkk kelas 12 kunci jawaban 2020 wednesday march 18 2020 add comment setelah adanya revisi kurikulum 2013 k13 untuk sekolah menengah kejuruan smk mata pelajaran prakarya dan kewirausahaan pkwu berubah nama menjadi produk kreatif dan. Kali ini kita akan membahas beberapa contoh soal produk kreatif dan kewirausahaan beserta jawabannya. May 18, 2020 · pada kurikulum 2013 revisi 2018 terdapat perubahan mata pelajaran di smk dari kewirausahaan menjadi produk kreatif dan kewirausahaan (pkk). Aug 17, 2021 · kunci jawaban biologi kelas 11 penerbit erlangga bab 11kunci jawaban lks intan pariwara matematika kelas xi semester 2soal pkn kelas 10 semester 1 beserta jawabannya kurikulum 2013contoh soal hots fisika sma pdfsoal un sd 2015 dan kunci jawabandownload buku fisika kelas. Feb 05, 2021 · soal pkk kelas 11 +kunci jawaban 2020.

Soal Jawaban Uas Pat Kelas 11 Prakarya Kunci Jawaban Pilihan Ganda 30 Soal Tribun Manado
Soal Jawaban Uas Pat Kelas 11 Prakarya Kunci Jawaban Pilihan Ganda 30 Soal Tribun Manado from cdn-2.tstatic.net
Soal pkk kelas 12 kunci jawaban 2020 wednesday march 18 2020 add comment setelah adanya revisi kurikulum 2013 k13 untuk sekolah menengah kejuruan smk mata pelajaran prakarya dan kewirausahaan pkwu berubah nama menjadi produk kreatif dan. Feb 05, 2021 · soal pkk kelas 11 +kunci jawaban 2020. Mar 19, 2021 · soal essay prakarya kelas 11 semester satu kurikulum 2013 dengan kunci jawaban dimulai dari soal nomor 91. Aug 17, 2021 · kunci jawaban pkn kelas 11 kurikulum 2013 bab 2 kunci jawaban pkn kelas 11 semester 2 kurikulum 2013 kunci jawaban soal pkn kelas 11 halaman 75 pertanyaan sulit tentang perdamaian pkn. Pada artikel ini admin akan membagikan soal produk kreatif dan kewirausahaan kelas 11 semester 1 kurikulum 2013 revisi 2018. Aug 17, 2021 · demikian artikel tentang kunci jawaban matematika kelas 7 smp/mts semester 1 ayo kita berlatih 2.1 kurikulum 2013 revisi 2017 halaman 114, 115, 116. Setelah adanya revisi kurikulum 2013 (k13) untuk sekolah menengah kejuruan (smk), mata pelajaran prakarya dan kewiraushaan (pkwu) berubah nama menjadi produk kreatif dan kewirausahaan (pkk). Kali ini kita akan membahas beberapa contoh soal produk kreatif dan kewirausahaan beserta jawabannya.

Kali ini kita akan membahas beberapa contoh soal produk kreatif dan kewirausahaan beserta jawabannya.

Mar 19, 2021 · soal essay prakarya kelas 11 semester satu kurikulum 2013 dengan kunci jawaban dimulai dari soal nomor 91. Pada artikel ini admin akan membagikan soal produk kreatif dan kewirausahaan kelas 11 semester 1 kurikulum 2013 revisi 2018. Kali ini kita akan membahas beberapa contoh soal produk kreatif dan kewirausahaan beserta jawabannya. Aug 17, 2021 · kunci jawaban pkn kelas 11 kurikulum 2013 bab 2 kunci jawaban pkn kelas 11 semester 2 kurikulum 2013 kunci jawaban soal pkn kelas 11 halaman 75 pertanyaan sulit tentang perdamaian pkn. Aug 17, 2021 · demikian artikel tentang kunci jawaban matematika kelas 7 smp/mts semester 1 ayo kita berlatih 2.1 kurikulum 2013 revisi 2017 halaman 114, 115, 116. Apabila ingin menghadapi ujian akhir semester 1 dan 2 kita harus banyak banyak mengerjakan atau mencari contoh contoh soal agar nanti pada ujiannya kita gampang. Materi pkk kelas xi semester ganjil 1 modul pengantar kewirausahaan (autosaved) ylyg8vxqy3lm. Feb 05, 2021 · soal pkk kelas 11 +kunci jawaban 2020. May 18, 2020 · pada kurikulum 2013 revisi 2018 terdapat perubahan mata pelajaran di smk dari kewirausahaan menjadi produk kreatif dan kewirausahaan (pkk). Setelah adanya revisi kurikulum 2013 (k13) untuk sekolah menengah kejuruan (smk), mata pelajaran prakarya dan kewiraushaan (pkwu) berubah nama menjadi produk kreatif dan kewirausahaan (pkk). Aug 17, 2021 · kunci jawaban biologi kelas 11 penerbit erlangga bab 11kunci jawaban lks intan pariwara matematika kelas xi semester 2soal pkn kelas 10 semester 1 beserta jawabannya kurikulum 2013contoh soal hots fisika sma pdfsoal un sd 2015 dan kunci jawabandownload buku fisika kelas. Soal pkk kelas 12 kunci jawaban 2020 wednesday march 18 2020 add comment setelah adanya revisi kurikulum 2013 k13 untuk sekolah menengah kejuruan smk mata pelajaran prakarya dan kewirausahaan pkwu berubah nama menjadi produk kreatif dan.

Posting Komentar untuk "Kunci Jawaban Pkk Kelas 11 Semester 1 / Soal Pkk Kelas 11 Kunci Jawaban 2020 - Feb 05, 2021 · soal pkk kelas 11 +kunci jawaban 2020."